As a reaction vessel for steelmaking, the converter’s shell is formed by welding steel plates and consists of, from the outside in, an insulating layer, a permanent layer, and a working layer. In China, magnesium-carbon bricks with a carbon content of 14–18% are commonly used as refractory materials for converters, whereas European countries generally opt for magnesium-carbon bricks with a carbon content of 10–15%.
The refractory lining of a converter is a key factor affecting its service life. Other factors, such as operating conditions, production processes, and maintenance measures, also influence the converter’s lifespan. Today, we will provide a detailed explanation of these factors.
Factors affecting the service life of a converter include:
(1) Slag composition. For every 1% increase in iron oxide content in the slag, the service life of the furnace lining decreases by 18 to 20 passes; the higher the MgO content in the slag, the lower the erosion of the furnace lining; and the higher the alkalinity of the slag, the lower the erosion of the furnace lining. Currently, the iron oxide content in typical converter slag ranges from 18% to 24%.
(2) Tapping Temperature. The higher the tapping temperature, the shorter the service life. Generally, above 1600°C, for every 50°C increase, the service life of the converter decreases by 10%. In the past, the steelmaking temperature of converters in China was often above 1650°C, and particularly for small converters, it frequently exceeded 1680°C. Currently, steelmaking temperatures are mostly below 1650°C; therefore, the tapping temperature of the converter should be appropriately controlled.
(3) Smelting time. A longer smelting time, i.e., a longer blowing time, accelerates the erosion of the furnace lining; service life is inversely proportional to smelting time. However, since the typical smelting time for a converter is 20–30 minutes, the impact of smelting time on the service life of different converter linings is not significant.
(4) Intermittent operation. When the converter is shut down, the temperature drops; when it is restarted, the temperature of the converter lining rises rapidly. This generates intense thermal shock within the lining material, often leading to thermal stress, which accelerates erosion and causes cracks or even structural spalling, thereby significantly reducing the lining’s service life.
(5) When molten iron and charge materials are added to the converter, the tilting of the furnace, along with impacts or scouring, can cause discontinuous damage to the lining. Therefore, timely repairs to the lining materials are essential; otherwise, the service life of the converter will be significantly reduced.
(6) The quality of the refractory materials used in the converter lining. Before the development of magnesium-carbon bricks, the converter lining primarily consisted of sintered or tar-bonded magnesium bricks and magnesium dolomite bricks, with the initial service life of the converter being 200–300 passes (for small converters). Since the successful application of magnesia-carbon bricks in converter linings, their usage has steadily increased. Under conditions without slag spatter and without repairs, the service life has reached over 2,000 passes. When spray-repaired but without slag spatter, the converter’s service life has exceeded 6,000 passes. In China, larger converters generally use higher-quality refractory materials for their linings, and since the lining is located farther from the central oxygen lance, operating conditions for large converters are more favorable, resulting in longer service life and lower specific refractory consumption.
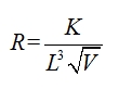
(7) Furnace Size. Refractory materials for converter linings have largely been standardized. Their service life depends on maintenance and product quality. It has been noted that the relationship between refractory material consumption (R), furnace capacity (V), and service life (L) is expressed by the following equation:

Specifically, the specific consumption of refractory materials is inversely proportional to the cube root of the furnace volume; that is, the larger the furnace, the lower the specific consumption of refractory materials. For example, if the specific consumption of refractory materials per ton of steel in a 30-ton converter is 3 kg, then the specific consumption in a 300-ton converter should be 0.39 kg. Therefore, large converters consume less refractory material than small ones.
(8) Lining Structure. Since different parts of the converter are subjected to varying conditions of wear and tear, the erosion patterns of each section must be fully considered when constructing the converter lining, and a comprehensive lining method should be employed.
(9) Furnace Maintenance. Another crucial method for ensuring the longevity of the converter lining is maintenance. Proper maintenance can extend the lining’s service life severalfold, potentially making it semi-permanent; therefore, maintenance is of utmost importance. Current measures for converter repair and maintenance include: 1) Regular repairs of the front and rear main surfaces using hot-flow repair materials. Spray repair is performed on the trunnions and other areas. 2) Slag splashing for furnace protection. 3) For the tapping hole and permeable bricks, rapid replacement is generally employed; their service life is typically aligned with that of the converter lining.
(10) The impact of steel grades. Generally, when producing carbon steel in a converter, the smelting temperature is lower and the slag composition is relatively stable. Under these conditions, the service life is longer or the specific consumption of refractory materials is lower; however, if processes such as dephosphorization are involved, the service life decreases significantly or the specific consumption of refractory materials increases substantially. Therefore, the type of steel being produced or the smelting process has a significant impact on the service life of the converter lining.
(11) The Impact of Converter Re-blowing. In recent years, converter steelmaking technology has advanced significantly, particularly with the development of re-blowing technology. This involves installing gas-supply bricks at the bottom of the converter to inject nitrogen, carbon dioxide, argon, or oxygen into the furnace, thereby intensifying bath agitation and improving smelting reactions. This shortens steelmaking time, enhances molten steel quality, and reduces production costs. However, re-blowing also accelerates the erosion of the refractory lining, leading to an increase in refractory consumption.
In summary, regardless of the steel grade being produced or how severe the smelting conditions may be, the converter lining can become semi-permanent through the use of high-quality refractory materials and proper repair and maintenance—particularly the latter. This underscores the importance of converter repair and maintenance.
More details about BOF Furnace:
What is a bof converter?
The basic oxygen furnace (BOF) process is a method of primary steelmaking in which carbon-rich hot metal (produced by a blast furnace), is made into steel. It is one of the most common steel production process. BOF operations are at the forefront of refractory engineering and services.
What is the difference between BOF and EAF?
An alternate method to basic oxygen furnace (BOF) steel- making is the use of high current electric arcs to generate heat for removing the carbon content in iron. Unlike a BOF process, the electric arc furnace (EAF) does not require molten iron for making steel.
How does BOF work?
Basic oxygen furnace (BOF) is defined as a top blown converter where heat is generated by the oxidation of impurities within the charge, involving the addition of oxygen to molten iron and scrap, resulting in an exothermic reaction that reduces carbon content to produce steel.
Are LD converter and BOF the same?
In the early 1950s, engineers searching for alternatives to the Siemens-Martin furnace could not have foreseen the revolutionary impact of their development of the Linz-Donawitz (LD) converter, also known as the Basic Oxygen Furnace (BOF). Today, this technology underpins approximately 70% of global steel production.
What is the use of BOF?
The basic oxygen furnace (BOF) is a vessel used to convert pig iron, of about 94 percent iron and 6 percent combined impurities such as carbon, manganese, and silicon, into steel with as little as 1 percent combined impurities.

